鉄緑会の大阪校高3理系数学単元別演習カラー板書集 SEG 駿台 河合塾 東進 鉄緑会 鶴田先生 高3理系数学 単元別演習 板書集フルセット 駿台
(4002件)
Pontaパス特典
サンキュー配送
14326円(税込)
144ポイント(1%)
Pontaパス会員ならさらに+1%ポイント還元!
送料
(
)
3984
配送情報
お届け予定日:2026.06.01 0:48までにお届け
※一部地域・離島につきましては、表示のお届け予定日期間内にお届けできない場合があります。
ロットナンバー
47152104570
お買い物の前にチェック!
Pontaパス会員なら
ポイント+1%
ポイント+1%
商品説明







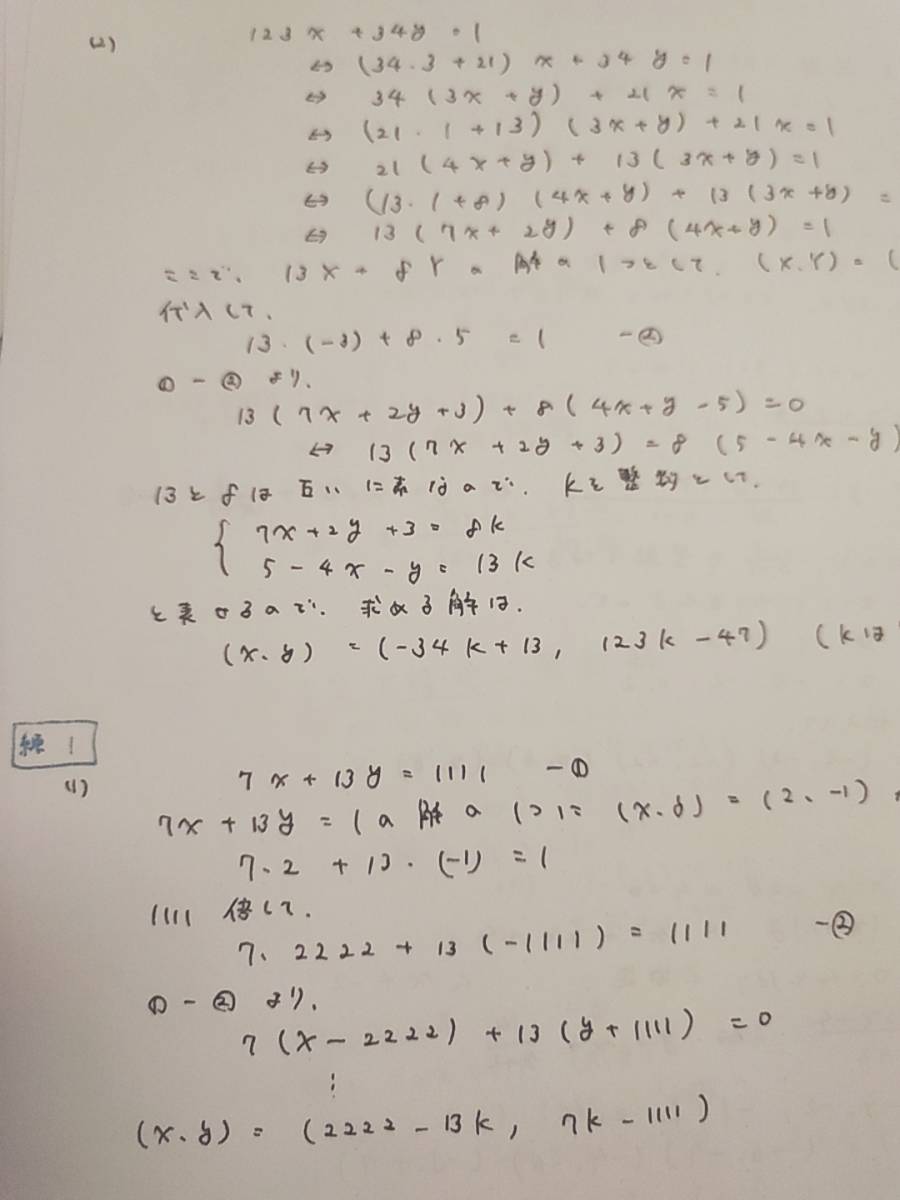
鉄緑会の大阪校高3理系数学単元別演習カラー板書集です。\r\r大阪校の高3理系数学の単元別演習の板書です。この単元別演習は分野別に苦手分野をなくす意味でもかなり重要で、より詳細に単元別で完成させていきます。実戦演習などに取り組む前に確実にこなしておきたい講座です。重要ポイントのかっこ付などのレイアウトから人気講師鶴田先生のもので、実施分はすべて取ってあります。方法論や重要事項など最上位クラスの板書なのでかなり実用性はあります。こちらはとった板書のカラー複写ですが未使用で見やすいです。年度は23年度になっています、クラスは通常クラスなので貴重です。\r\r状態も綺麗で何も気にすること無く使えます。\r\rフォローしていただけると今後も新しいものを出品時に通知が来るようになると思うので、ぜひフォローも。\r\r即購入OKです!\r\r他にもご相談などがあればお気軽にコメントください。\r\r#鉄緑会 #東京大学 #東大\r駿台山下 テキスト河合塾 アドバンスゼミ 学研プライムゼミ#駿台 駿台予備校 #河合塾 東進国公立大学鉄緑会私立大学 センター試験 #化学 医学部赤本 理系 #医学部 #医学部受験 医学部駿台テキスト#共通テスト化学 医系 代ゼミ 医学部赤本 早慶共通テストSEG Z会進研ゼミ東大京大東工MARCH 東工大旧帝阪大東北大北大名大九大慶応上智明治青学立教中央法政関大関学同志社立命館ベネッセ模試 スタディサプリ 東京工業 東京医科歯科横浜国立大学 チャート有機化学無機化学 理論物理への道標 入試プレ北九州予備校 #山下幸久 伊藤和修 朝霞靖俊 三森司 景安聖士 太庸吉 登木健司 成川博康 雲孝夫 竹岡博信 久山道彦 大森徹 増田重治 苑田尚之 大島保彦 大堀求
| カテゴリー: | 本・雑誌・漫画>>>本>>>語学・辞書・学習参考書 |
|---|---|
| 商品の状態: | 未使用に近い","数回使用し、あまり使用感がない |
| 配送料の負担: | 送料込み(出品者負担) |
| 配送の方法: | 佐川急便/日本郵便 |
| 発送元の地域: | 未定 |
| 発送までの日数: | 1~2日で発送 |
レビュー
商品の評価:




5.0点(4002件)
- りょー1547
- 対象年齢とか記載してくれると助かるのですが・・・
- あらごし梅
- 歴代のプリキュアや妖精が全部乗ってて子供が喜んでました。 プリキュアのDVD見るときはいつもこれを抱えています。 保育園・幼稚園でまだ字が読めない子には、ひらがなの勉強にもなるんじゃないでしょうか。
- アジア21
- 自分が小さい頃大好きだった本です。 息子に読んであげたくて購入しました。 とても食いつきがよく毎日一緒にきんぎょを探してました♪ ただ、少し紙が薄いのが残念・・すぐ破かれましたので―★1です。 小さい子も楽しめるのでもう少ししっかりしてると嬉しいなぁという印象です。
- ゆう024013
- たくさんの動物に3歳の息子は楽しんでいます。
- きっくのすけ
- クリスマスプレゼントです。 喜んでくれるといいです!
- 西向く士7841
- 姪っ子四才の誕生日のプレゼントとして購入。 なんかおもしろいという評判なので。気に入ってくれたらうれしいな。
- Miton
- ガールズ戦士ファンの姪っ子に買ってあげましたが、この内容ならせいぜい税込み500円が適切ですね。
すべて見る
お店の情報
7,367
連絡・応対
4.3
配送スピード
4.3
梱包
4.3










