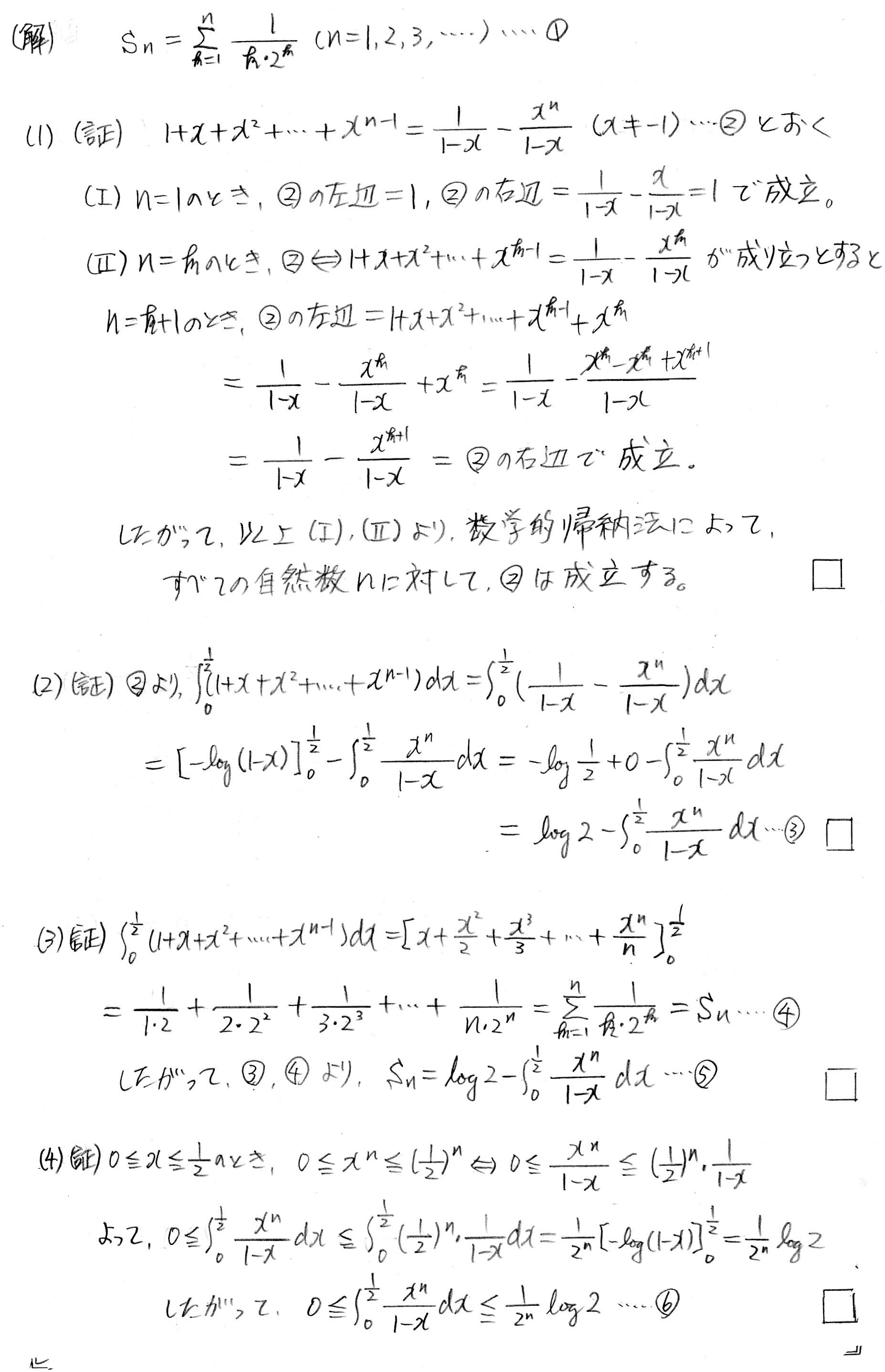
岐阜大学2016 過去問】岐阜大学 2016 大問3|数学研究室
(4003件)
Pontaパス特典
サンキュー配送
6000円(税込)
60ポイント(1%)
Pontaパス会員ならさらに+1%ポイント還元!
送料
(
)
3986
配送情報
お届け予定日:2026.06.01 0:48までにお届け
※一部地域・離島につきましては、表示のお届け予定日期間内にお届けできない場合があります。
ロットナンバー
47152130094
お買い物の前にチェック!
Pontaパス会員なら
ポイント+1%
ポイント+1%
商品説明

岐阜大学 前期日程
| カテゴリー: | 本・雑誌・漫画>>>本>>>語学・辞書・学習参考書 |
|---|---|
| 商品の状態: | 未使用に近い","数回使用し、あまり使用感がない |
| 配送料の負担: | 送料込み(出品者負担) |
| 配送の方法: | 佐川急便/日本郵便 |
| 発送元の地域: | 岐阜県 |
| 発送までの日数: | 1~2日で発送 |
レビュー
商品の評価:




4.6点(4003件)
- あらごし梅
- 旭川美術館で原画の展示をしていたのをみました。迫力がありながらもあたたかさを感じる絵でした。実際の絵本でも、伝わる感じにかわりなかったので購入しました。
- アジア21
- 小1、年中の息子達に大ウケでした。一度読んで、もう一回とリクエストされました。 まさかの展開に私も笑いました。
- ゆう024013
- 孫のプレゼントで購入しました。迅速な対応ありがとうございます。
- きっくのすけ
- 中身がこんにちはとばいばいだけの本です。
- 西向く士7841
- 2歳の子どものトイレトレーニングに購入しました。 「しーしー」といいながら、読んでいます。
- Miton
- "スヌーピー♪U^エ^Uと仲間たちのシールが全250枚(゜∀゜)気になったので!!購入しましたっっ!!激ヤバっっ(≧∀≦)まぢカワ(≧∇≦*)最高〜〜〜♪(≧∇≦)bです〜〜〜♪サイズ:タテ10
- みー1602
- 2歳の子どもがこぐまちゃんシリーズが大好きで購入しました。 寝る前に本を一式持ってきて「読んでほしい」とねだってきます。
- ポコ1219
- テレビで筆者本人が自体験を語ってらしたので、私は納得し、面白く見ました。 幼少期話さないようになったきっかけや中学入学時の話をちょっとコメントで書いてあったらもっと良かったと思います。 でも同じようなお子さんを持つ方に内容を話してみてもらってます。
すべて見る
お店の情報
7,367
連絡・応対
4.3
配送スピード
4.3
梱包
4.3










