令和8年NN桜蔭算数そっくり④⑤⑥プラスα+b 9セット 令和8年NN桜蔭算数そっくり⑦⑧⑨プラスα+b 9セット - メルカリ
(3971件)
Pontaパス特典
サンキュー配送
6666円(税込)
67ポイント(1%)
Pontaパス会員ならさらに+1%ポイント還元!
送料
(
)
3964
配送情報
お届け予定日:2026.06.06 10:46までにお届け
※一部地域・離島につきましては、表示のお届け予定日期間内にお届けできない場合があります。
ロットナンバー
5299172279
お買い物の前にチェック!
Pontaパス会員なら
ポイント+1%
ポイント+1%
商品説明


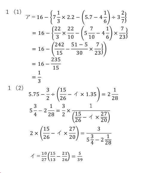
毎回順位偏差値を表示されるのそっくりテストです。\r\rNN桜蔭算数テストそっくりテスト④⑤⑥\rプラスa ,b 数と規則、平面図形と比、立体のとらえ方。\r合計9セット問題と解答です。\r\r使用済み書き込み\rOPENの対策、レベルアップ、特待生目指す等重要な問題と思います。\r\r細かい気にする方ご遠慮ください\rご覧いただきありがとうございます。
| カテゴリー: | 本・雑誌・漫画>>>本>>>語学・辞書・学習参考書 |
|---|---|
| 商品の状態: | 傷や汚れあり","多くの人が見てわかるような傷や汚れがある |
| 配送料の負担: | 送料込み(出品者負担) |
| 配送の方法: | 佐川急便/日本郵便 |
| 発送元の地域: | 未定 |
| 発送までの日数: | 2~3日で発送 |
レビュー
商品の評価:




4.5点(3971件)
- monk-31
- 子供に読んでいて私が泣いてしまった。 3才の娘にはまだ理解できないけど これからも大事に読み聞かせていきたい本になりました。
- ベリーサリー
- お気に入りの一冊です。 ぐりとぐら本編と同じくらい読んでほしいと言われます。
- トクじぇー
- 広げると、富士山。美しい。ぜひ買って見てください。さすが一級建築士。
- アルビノナマズ
- このシリーズはいないいないばあと合わせて、かなり買っています。曲が4曲フルで入っているので、聞いている間家事が出来ます(*^_^*)子供はテレビをつけなくても曲が聞けて満足そうです。音がとても大きく、ボリューム調整ボタンがないので、音の出る部分にセロハンテープとモコモコしたシールを貼って、音を押さえています。でも本当に重宝しています。
- hana5166
- 2015年 最新版はやい電車100点を購入してから数年。 大好きな私鉄特急が発刊されたことを知り、購入しました。 鉄道写真の巨匠である広田氏の写真はやっぱり素晴らしい。 子供向けの本だけど、解説はしっかりしている。 いずみ鉄道の急行だけ、写真がすごくぼやけていて、残念でした。
- pyonkee
- いつも贈り物に重宝してます。 よろこばれるし、いつも迅速な対応が嬉しいです。
すべて見る
お店の情報
7,367
連絡・応対
4.3
配送スピード
4.3
梱包
4.3










